التصنيفات
الهاشتاجات
ابحاث علمية تقنية 37 اخبار الذكاء الاصطناعي ولغات البرمجة 33 افضل الانظمة والبرمجيات 15 افضل تخصصات تقنية معلومات وحاسوب 6 افكار تطبيقات ومواقع الكترونية احترافية 19 افكار مشاريع تخرج تطبيقات جوال 3 افكار مشاريع تخرج تقنية 92 التقنية والتكنولوجياء 227 تطبيقات ومنصات التجارة الالكترونية 16 قسم التسويق وادارة المحتوى SEO 34
البومات الصور
89 صور
مارس 13, 2025
21 صور
سبتمبر 10, 2024
17 صور
مارس 16, 2023
Posted in أخبار التكنولوجيا والتقنية on سبتمبر 02, 2025
ماهي خوارزميات BFS و DFS و GA
BFS:
خوارزمية ال BFS:
- تقوم فكرتها على أساس المراحل levels ولديها نقطة بداية ونقطة نهاية (الهدف)، يتم حلها بترتيب الأبجدية أو ذات العقد الأكثر
- خوارزمية البحث بالعرض أولاً (Breadth-First Search أو BFS اختصارًا) هي إحدى الخوارزميات الأساسية في علم الحاسوب، وتستخدم لاستكشاف وتنقيب الرسوم البيانية (الغراف). تعمل هذه الخوارزمية على استكشاف جميع الجيران المباشرين لعُقدة معينة قبل الانتقال إلى الجيران الأبعد.
كيف تعمل BFS؟
- البداية من عُقدة: تبدأ الخوارزمية من عُقدة محددة في الرسم البياني.
- زيارة الجيران: يتم زيارة جميع الجيران المباشرين لهذه العُقدة وإضافتهم إلى قائمة الانتظار (عادةً ما تكون قائمة).
- الانتقال إلى العُقدة التالية: يتم إزالة العُقدة الأولى من قائمة الانتظار وزيارة جميع جيرانها غير المستكشفين وإضافتهم إلى القائمة.
- التكرار: تتكرر هذه العملية حتى يتم زيارة جميع العُقد التي يمكن الوصول إليها من العُقدة البداية.
لماذا نستخدم BFS؟
- أقصر مسار: تستخدم BFS للعثور على أقصر مسار بين نقطتين في الرسم البياني إذا كانت جميع الأضلاع لها نفس الوزن.
- استكشاف الرسم البياني: تستخدم لاستكشاف جميع العُقد في الرسم البياني.
- حل مشاكل التوصيل: تستخدم في حل مشاكل مثل تحديد ما إذا كان هناك مسار بين نقطتين أو العثور على جميع المكونات المتصلة في الرسم البياني.
- تطبيقات أخرى: تستخدم في العديد من التطبيقات الأخرى مثل تحليل الشبكات الاجتماعية، وتصميم الألعاب، وعلوم الروبوتات.
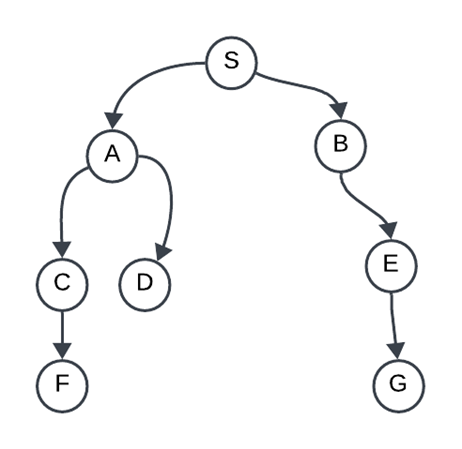
- مثال باستخدام طريقة ذات العقد الأكثر:

- Visited Nodes:
- S
- A
- B
- C
- D
- E
- F
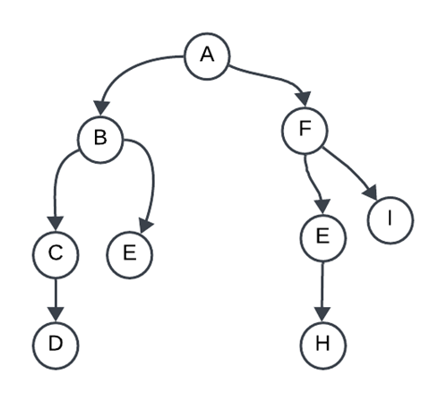
- مثال2:
- وليكن الهدف H

- مسار الحل: هو مجموعة النقاط المتتالية التي توصل الجذر بالهدف
- إذا مسار الحل: A B F C E G I D H
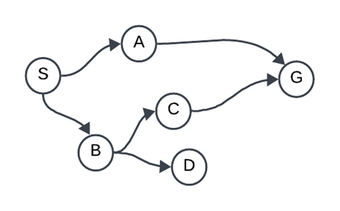
- مثال باستخدام ترتيب الابجدية:
- وليكن الهدف G

x
[closed]
[open]
S
[ ]
[S]
A
[S]
[A,B]
B
[S,A]
[B, G]
G
[S,A,B]
[G,C,D]
[S,A,B,G]
Stop
- الطريق الأقصر: S è A è B è G
- الكود الخاص ب BFS:
Related posts
خرائط جوجل وطريقة عملها ومميزاتها google maps منصة Force واستخداماتها واهميتها ماهي خوارزميات BFS و DFS و DA أفضل خدمات مشاركة الملفات السحابية لعام 2024 مقارنة بين افضل 10 أدوات لتعدين البيانات افكار مشاريع تخرج شبكات 2025 Top Tools in Academic Mining يتحدى مجتمع JavaScript علامة JavaScript التجارية الخاصة بشركة Oracle Google Workspaceأدوات جوجل للتعاون والإنتاجية coogle word









